by
Charles H. Dowding, Professor and Fei-chiu Huang, Post-Doctoral Fellow
Dept. of Civil Engineering, Northwestern University
This paper describes a method and apparatus developed at Northwestern University for measuring ground water pressure via time domain reflectometry (TDR). A TDR pulser generates an ultrashort step voltage pulse that propagates through a known length of transmission cable or wire within a plastic riser tube. Reflections of the pulse produced by the difference in capacitance at the air-water interface are propagated back along the cable or wire to the receiving unit in the TDR pulser, whereupon the location of the interface is calculated from travel time. When the system is in equilibrium, water pressure at the air- water interface is zero and equal to the unit weight of water times the height of water between the air-water interface and the measurement point at the tube bottom. Preliminary laboratory tests, using four types of parallel and twisted pair wires, demonstrate the practical feasibility of this technique for measuring water pressure. Changes of transmission distance to the air-water interface in the piezometric tube were measured at distances of 8 to 15 m with slow and fast rates of drainage. Results show distances to the air-water interface to be in error by 3% and 1%, respectively, without and with correction.
Geotechnical engineers traditionally measure ground water pressure with piezometers. Terzaghi and Peck (10) review more usual piezometers, which include open, Casagrande, closed-system hydraulic, electrically-indicating, and air-actuated piezometers. Many of these systems are based upon equilibration of standpipe water pressures with those at the measurement point, which usually consist of a porous sand-filled screen or metal cylinder attached to a plastic tube, as shown in FIGURE 1. While the standpipe equilibration system is unusually robust, systems to measure the water level remotely depend upon measurement of water pressure electronically with "down-the-tube" sensors, such as water pressure transducers. When these down-the-tube electronics fail, the entire system is lost.
Although the theory for measurement of water level through pulse transmission is not new (8, 9), there has been no application of the time domain reflectometry (TDR) technique to measure ground water pressure. This paper demonstrates use of the TDR technique to locate the air-water interface in a 3.175 mm (1/4 in) inner diameter tube with commercially available, twisted pair transmission wires (3). The theoretical framework for reflection and propagation of TDR pulses in transmission wires forms the basis of this technique, and experimental results are presented which provide a preliminary validation of this method.
The TDR approach for the measurement of changes in dielectric properties was first introduced by Fellner-Feldegg (5). He proposed that the shape of the reflected TDR signature could be analyzed to find the low-frequency electrical conductivity. The shape of a reflected pulse produced by the change in capacitance at the interface between air and a dielectric medium was found to be related to the change in capacitance.
Many soil science researchers have since employed TDR to determine soil water content and/or soil electrical conductivity by measuring the amplitude of the reflected pulse during transmission along either coaxial or parallel pair transmission lines buried in soil (2, 11). Topp (12) also applied TDR to determine the wetting front location by monitoring reflection of the TDR signature along a buried parallel transmission line. Distance to the wetting front as measured by TDR was validated by comparison to the distance calculated from the volume of water infiltrating a soil of known pore volume.
It has also been shown that the electrical conductivity of distilled water could be found by using TDR with a coaxial transmission line (13). The air-water interface could be seen easily from attenuation of the TDR signature. Zegelin (14) investigated the TDR traces of different probes in distilled water at 20°C and showed that a reflection at the air-water interface could be easily detected.
Ross (8, 9) has patented several apparati and methods for the detection of liquid level. He employed an open coaxial line and a single transmission line immersed in the contained liquid, which filled the space between the inner and outer conductor. The liquid surface creates a change in capacitance, which produces a reflection of the pulse signal. The time at which this reflection is received, relative to the time of the transmitted pulse, determines the level of liquid. Unfortunately, a coaxial transmission line tends to clog and requires frequent cleaning. Ross subsequently minimized this disadvantage for liquid-level sensing with a single dielectric coated line (i.e., a Goubau line) coupled with a conducting container.
A traditional piezometer installation, consisting of a porous stone cylindrical reservoir and plastic tube standpipe, is illustrated in FIGURE 1. The height of water above the porous stone times the unit weight of water is equal to the water pressure at the elevation of the porous stone. Normally a pair of wires, uninsulated at their lower ends, are manually lowered into the standpipe until the circuit is completed where the wires contact the water. This traditional, manually operable electrical level indicator can be replaced by permanent transmission wires and a TDR cable tester.
The use of TDR to measure piezometric levels has a number of advantages over other methods. Most importantly, it allows remote, telecommunication-based measurement without human interaction (7). Furthermore, unlike the alternate of pressure transducers placed at the porous stone, TDR electronics remain accessible above ground so any electronic failure can be repaired easily at the surface (4). In addition, one TDR cable tester can be employed to monitor several piezometers through multiplexing (7).
LABORATORY INVESTIGATIONS FOR TDR GROUND WATER PRESSURE MONITORING
Although there are numerous types of transmission wires that can be employed in TDR ground water pressure monitoring, research began by investigating four types of wires: (1) parallel pair with both conductors insulated, (2) twisted pair with both conductors insulated, (3) twisted pair with outer conductor bare and inner conductor insulated, and (4) twisted pair with inner conductor bare and outer conductor insulated. The objective was to assess which wires provide the most definitive signal reflections at an air-water interface. To this end, wires were inserted into a 3.175 mm (1/4 in) inner diameter polyethylene U- shape tube partially filled with water. Response of each transmission wire was investigated by visually comparing characteristics of the TDR waveforms at the air-water interface in the tube. Based on these investigations, the twisted pair transmission wire with both conductors insulated was chosen for field simulation studies.
Field conditions were simulated to measure the effects of water level and residual water droplets on measurement accuracy. Rapid water level (or ground water pressure) rise, and both rapid and slow water level decline, were conducted in a 25-m-high standpipe placed in a stairwell between the first and third floors. A water supply and valve was attached to the standpipe at the first floor to allow adding or subtracting water from the system. The twisted pair transmission wire extended from the top to the bottom of the standpipe so that transmission distance from the TDR cable tester to the air-water interface could be used to calculate height of water within the standpipe.
Experiments started by incrementally raising the water level in the tube to a known or measured elevation above the bottom. A baseline TDR signal was obtained at the maximum water height. The water was then allowed to fall at a rate of 15 m/day (0.15 MPa/day) to simulate unusually rapid dissipation of water pressure, and a rate of 2 m/day (0.02 MPa/day) to simulate less rapid dissipation of water pressure. These rates are much greater than typical field conditions (approximately 0.001 MPa/day). However, if the prototype system can be employed to detect changes in water pressure with a low percentage error for these two unusually rapid rates of drawdown, it is hypothesized that the error will be less for lower rates of pressure fluctuation.
RESPONSE OF TDR AIR-WATER INTERFACE REFLECTIONS
Idealized TDR signatures of reflection coefficient versus distance for a parallel pair
wire in a tube partially filled with water are shown in FIGURE 2. A positive (upward)
reflection occurs at the top of wire (points a and b) because of wire connections to the cable
tester. With only air in the standpipe, the signal remains constant (points c and d) until the
end of wire is reached and a positive reflection (point d) occurs due to the open circuit.
However, if the wire is partially immersed in water, a negative (downward) reflection
(points c and e) occurs at the air-water interface because of a change in the dielectric
constant. The signal then remains constant until the end of wire is reached (point f), where
a positive reflection occurs. The wire appears longer when submerged
in water (point f versus point d) because the pulse propagation velocity,
,
is reduced
due to the larger dielectric constant of water.
is the ratio of propagation velocity of an electromagnetic wave along a transmission wire to the velocity
of light in a vacuum
.
The prototype TDR signatures between the beginning and end of the four types of wires are compared in FIGURES 3A and 3B, 3C, and 3D. All four produced the same sharp rise at the beginning of the wire and the more rounded, but evident, reflection at the air-water interface. The insulated twisted pair (FIGURE 3B) produced the most easily interpreted air-water interface reflection and thus had the least error in visual interpretation.
A comparison of FIGURES 4A and 4B shows the change in TDR signature for the insulated twisted pair wire as the water level approached the top of the tube. After the water level reached the top, it was allowed to fall at a fast and slow rate, as mentioned earlier. Error can be introduced if the operator does not properly interpret the TDR signature at the air-water interface. Potential level of error is demonstrated in FIGURE 4C by the two different cursor placements, each representing a reasonable location of the interface. Linear regression analyses widely used by soil science researchers can be employed to minimize the error of locating reflection points at the air-water interface (1, 6). However, these analyses have not been performed at this time.
As shown in FIGURE 1,
is the physically measured distance to the air-water
interface,
is the uncorrected TDR transmission distance, and
is the corrected
transmission distance. The shortest distance, corresponding to the maximum height of
water, is
. The measured relationships between
and
for rising and falling water
levels can be approximated by a 1:1 line within a few percent error, as shown in
FIGURE 5.
These
's are determined on the basis of
in air only. It was not considered necessary to
account for the change in
produced by the presence of water droplets in the tube;
however, this procedure is discussed below.
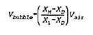
The corrected transmission distance,
, can be found via
equation (1),
where
= relative propagation velocity of wire in air,
= 0.75 (field simulation test for twisted pair wire),
and
= relative propagation velocity in wire surrounded by moisture
bubbles.
Rearranging equation (1) and setting
=
,
can be obtained by:

The variation of
versus
is
shown in FIGURE 6A, where
tends to
converge to a value of 0.72 with increasing transmission distance. Using the converged value
of
and substituting it into EQUATION 1,
can be calculated at each level and the corresponding
transmission distance error after correction can be determined. These results are presented
as percent error in FIGURE 6B. Transmission distance error can be
reduced by adjusting
with EQUATIONS 1 and 2. Finally,
water pressure at the porous stone level in the field can
be calculated via equation (3),
where u = water pressure (kPa),
= unit weight of water
,
and L = wire length (m).
INTERPRETATION OF PROTOTYPE REFLECTIONS
Visual comparison of TDR and physically measured distances in FIGURE 5 indicates that the TDR measurements show increasing measurement error with increasing transmission distances as water level falls at unusually rapid rates (2 to 15 m/day). The error was smaller when water level dropped at the slower rate (2 m/day). This difference may result from evaporation and/or agglomeration of water droplets in the tube during drawdown. Regardless of the cause, the error is small (+/- 0.05%).
Generally speaking, the TDR water pressure monitoring approach produces an
overestimate (+2%) with a rise in pressure or water level and an underestimate (-3%) with
a fall in water pressure (FIGURE 6B). Correction for changes in
, resulting from water
droplet effects, can be made to reduce this error to approximately 1% during periods of
falling pressures. The cable tester itself is only accurate to +/- 2%. Other factors (
e.g.,
temperature, cable degradation, deposition of minerals, etc.) that could alter
for a cable
have not been investigated at this time.
In addition, distance markers can be made on the transmission cable to improve the accuracy of the measurement (4). Distance markers are deliberately produced cable deformities at known distances along a cable. Thus the 2% systematic error can be reduced by reference to these known locations.
Time domain reflectometry (TDR) could be used to monitor ground water pressure in small diameter polyethylene tubes with parallel pair and/or twisted pair transmission wires. The method has been shown through laboratory simulation of field conditions to be accurate within 1% to 3% of the transmitted distance between the cable tester and an air- water interface for distances up to 15 m. The variety of transmission wire configurations that have been evaluated provides considerable flexibility in choice of transmission wire.
The following conclusions are based on the results of tests presented in this paper:
This research was funded by the Bureau of Mines of the U.S. Department of the Interior, contract number PO212469, under the direction of Dr. Kevin M. O'Connor, Civil Engineer in the Twin Cities Research Center.
1. Baker, J.M. and R.R. Allmaras. System for Automating and Multiplexing Soil Moisture
Measurement by Time Domain Reflectometry. Soil Science Society of America Journal,
v. 54, No. 1, 1990, pp. 1-6.
2. Dalton, F.N., W.N. Herkelrath, D.S. Rawlins, and J.D. Rhodes. Time-Domain
Reflectometry: Simulations Measurement of Soil Water Content and Electrical Conductivity
with Single Probe. Science, v. 224, June, 1984, pp. 989-990.
3. Dowding, C.H. and F.C. Huang. Water Pressure Measurement with Time Domain
Reflectometry. U.S. Patent Application, 1993, 9 p.
4. Dowding, C.H., F.C. Huang, and P.S. McComb. Remote Piezometric Water Pressure
Measurement with Time Domain Reflectometry. Submitted for publication, Geotechnical
Testing Journal, ASTM, 1994, 25 p.
5. Fellner-Feldegg, H. The Measurement of Dielectrics in the Time Domain. Journal of
Physical Chemistry, v. 73, No. 3, 1969, pp. 616-623.
6. Heimovaara, T.J. and W. Bouten. A Computer-Controlled 36 Channel Time Domain
Reflectometry System for Monitoring Soil Water Contents. Water Resources Research, v.
26, No. 10, 1990, pp. 2311-2316.
7. Huang, F.C. Telecommunication Enhancement of Time Domain Reflectometry
Measurements. Ph.D. Dissertation, Northwestern University, Evanston, IL, 1993, 101 p.
8. Ross, G.F. Apparatus and Method for Measuring the Level of a Contained Liquid. U.S.
Patent No. 3,832,900, 1974.
9. _____. Apparatus and Method for Sensing a Liquid with a Single Wire Transmission
Line. U.S. Patent No. 3,995,212, 1976.
10. Terzaghi, K. and R.B. Peck. Soil Mechanics in Engineering Practice. John Wiley, 2d.
ed., 1967, 729 p.
11. Topp, G.C., J.L. Davis, and A.P. Annan. Electromagnetic Determination of Soil Water
Content: Measurement in Coaxial Transmission Lines. Water Resources Research, v. 16,
No. 3, 1980, pp. 574-582.
12. _____. Electromagnetic Determination of Soil Water Content Using TDR: I.
Applications to Wetting Fronts and Steep Gradients. Soil Science Society of America
Journal, v. 46, 1982, pp. 672-678.
13. Topp, G.C., M. Yanuka, W.D. Zebchuk, and S. Zegelin. Determination of Electrical
Conductivity Using Time Domain Reflectometry: Soil and Water Experiments in Coaxial
Lines. Water Resources Research, v. 24, No. 7, 1988, pp. 945-952.
14. Zegelin, S.J., I. White, and D.R. Jenkins. Improved Field Probes for Soil Water
Content and Electrical Conductivity Measurement Using Time Domain Reflectometry.
Water Resources Research, v. 25, No. 11, 1989, pp. 2367-2376.